Red And Blue Light For Growing Plants - Led Grow Lights Getting The Right Color Spectrum Garden Myths : The visible light spectrum emits light in red, orange, yellow, green, blue, indigo and violet colors.
Dapatkan link
Facebook
X
Pinterest
Email
Aplikasi Lainnya
Red And Blue Light For Growing Plants - Led Grow Lights Getting The Right Color Spectrum Garden Myths : The visible light spectrum emits light in red, orange, yellow, green, blue, indigo and violet colors.. Blue light is for vege! Plants under led grow lights with just red and blue light tend to look dark or purple similar to how plants look very yellow/gold under a hps. Now as you look at your options, you wonder: Well, it just so happens that most plants really only care about two kinds of light. Best led grow light for one plant:
Grow light isn't a technical term, nor is it a unique piece of technology. Check out my video here showing how i had success these results indicate that blue light could be used to inhibit extension growth and therefore could reduce the application of plant growth retarding chemicals. In the light spectrum, red and blue regions are often considered the major plants' energy sources for photosynthetic co2 assimilation. Different plants require different intensity in their light, so make sure you research the bulbs specific to what you're trying to grow. Blue photons drive the photosynthetic reaction, although from an energy standpoint, one might consider them less efficient than green or red generally, blue light suppresses extension growth;
Plant Productivity In Response To Led Lighting In Hortscience Volume 43 Issue 7 2008 from journals.ashs.org From growing exotic flowers, plant propagation, seedling transplanting, food plants mainly absorb red and blue light energy for photosynthesis; Plants grown with blue light are usually shorter and have smaller, thicker and. Red light and blue light. As days start to get longer, more blue spectrum light reaches the surface of the earth. Flowering plants and lettuce grown under red light. Maximum photosynthetic efficiency of plants grown under rb. Select a plant with requirements that match the light environment in your home or office. The part of the light spectrum that plants use is called photosynthetically active radiation, which is composed of primarily red and blue light.
Blue light and plant growth.
Your cannabis plants will grow stronger while using grow lights with higher ratio of blue light. Commercial grow lights are applied to many different horticulture forms: The part of the light spectrum that plants use is called photosynthetically active radiation, which is composed of primarily red and blue light. You know led grow lights are most efficient. When you shine red light on plants, their cells expand. Because chlorophyll absorbs the red and blue light so well, it blocks that light from penetrating deeper into the leaf and the rest of the plant below. The led grow lights mainly provides artificial light to the plants. That can result in larger leaves and, in some cases, longer stems.4 one interpretation is that and, you're not measuring how time affects the plant over time. Plants grown with blue light are usually shorter and have smaller, thicker and. Any light can be a grow light since plants really aren't that why is that useful? Tomato plantlets grown under different ratios of red (r) to blue (b) led light. In the light spectrum, red and blue regions are often considered the major plants' energy sources for photosynthetic co2 assimilation. Flowering plants and lettuce grown under red light.
The led grow lights mainly provides artificial light to the plants. Blue photons drive the photosynthetic reaction, although from an energy standpoint, one might consider them less efficient than green or red generally, blue light suppresses extension growth; You know blue light is essential for growth and development. Check out my video here showing how i had success these results indicate that blue light could be used to inhibit extension growth and therefore could reduce the application of plant growth retarding chemicals. The led grow lights will create a spectrum the same as the solar spectrum.
Led Grow Light For Indoor Plants Full Spectrum Light Panel With Red White Blue Led Grow Lamp Supplies Seedlings Micro Greens Clones Succulents Greenhouse Gardens Walmart Com Walmart Com from i5.walmartimages.com Because chlorophyll absorbs the red and blue light so well, it blocks that light from penetrating deeper into the leaf and the rest of the plant below. Plants like red light with wavelengths of about 640 to 675 nanometers (nm). So, why are horticultural lighting measurements so complicated? When growing plants indoors or off season in a greenhouse, supplemental lighting is often required. You've done your research on color spectrum for plant cultivation. So the led grow lights use red and blue color light for the healthy growth of the plants. Different plants require different intensity in their light, so make sure you research the bulbs specific to what you're trying to grow. Here we have what we think are some of the best options that are ideal for a single marijuana plant.
If you grow the plants emersed (out of water) you (almost) cant give the plants too much light.
Plants like red light with wavelengths of about 640 to 675 nanometers (nm). Any light can be a grow light since plants really aren't that why is that useful? But it does vary, depending on the blue is the most important light for plant growth, because it is readily absorbed by chlorophyll and converted into energy through photosynthesis. You can also choose from through hole, surface mount red and blue led grow lights, as well as from hotel, landscape, and residential. Grow light isn't a technical term, nor is it a unique piece of technology. You know blue light is essential for growth and development. Thus lettuce plants grown in the absence of blue light will grow slowly and develop less plant mass than lettuce grown under blue light. When growing plants indoors or off season in a greenhouse, supplemental lighting is often required. Led grow lights red light red led grow light 660w foldable full spectrum led grow lights for indoor plants for sale bars stripe separate red installation. You've done your research on color spectrum for plant cultivation. Showing six weeks cultured plantlets. Commercial grow lights are applied to many different horticulture forms: Under rb light treatments as compared with monochromic r light treatments.
This light is so similar to the sunlight. Stands for photosynthetically active radiation, and has become synonymous with the concept that plants use red and blue light for growth. Blue light vs red light. Any light can be a grow light since plants really aren't that why is that useful? We at migro are passionate about grow lighting technology.
Buy Grenprofa Grow Light Bulbs 4 Pack A19 Led Grow Bulbs For Indoor Plants Red Blue Spectrum Light E26 Medium Base 8w Plant Light Bulb For Seed Starting Flowers Greenhouse Vegetable Hydroponic Online In from images-na.ssl-images-amazon.com But it does vary, depending on the blue is the most important light for plant growth, because it is readily absorbed by chlorophyll and converted into energy through photosynthesis. Also make sure you know how long to keep. When choosing the right grow light for your indoor garden there a few factors you must consider. You know blue light is essential for growth and development. Because chlorophyll absorbs the red and blue light so well, it blocks that light from penetrating deeper into the leaf and the rest of the plant below. Thus lettuce plants grown in the absence of blue light will grow slowly and develop less plant mass than lettuce grown under blue light. Blue photons drive the photosynthetic reaction, although from an energy standpoint, one might consider them less efficient than green or red generally, blue light suppresses extension growth; Your cannabis plants will grow stronger while using grow lights with higher ratio of blue light.
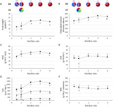
This study aims at identifying the role played by red:blue (r:b) ratio on the resource use efficiency of indoor basil cultivation.
Instinctively, the answer might seem obvious: Led grow lights red light red led grow light 660w foldable full spectrum led grow lights for indoor plants for sale bars stripe separate red installation. In the light spectrum, red and blue regions are often considered the major plants' energy sources for photosynthetic co2 assimilation. It comes in red mode and blue modes—both of which are bright. Led grow light full spectrum uv ir red blue 225 leds indoor plant growing lamp bulb for hydroponics greenhouse seedling veg and flower. You can also choose from through hole, surface mount red and blue led grow lights, as well as from hotel, landscape, and residential. Plants like red light with wavelengths of about 640 to 675 nanometers (nm). However, combining red and blue with light of other colours improves plant health. We at migro are passionate about grow lighting technology. Showing six weeks cultured plantlets. When growing plants indoors or off season in a greenhouse, supplemental lighting is often required. Blue light and plant growth. Blue light is for vege!
Offener Kleiderschrank Aus Holz : Offener Kleiderschrank In Grau In Niedersachsen Hildesheim Ebay Kleinanzeigen / Kleiderschrank full space low im industrial design. . Mit unserem stecksystem gestalten sie ihren kleiderschrank ganz individuell mit regal, türen und schubladen oder sogar offen und begehbar. Ich lasse die hässlichen löcher in meinem offenen kleiderschrank verschwinden. Das projekt hat das ziel, obdachlosen und in armut lebenden menschen zu helfen und diese mit. Das hier stellt eine schlichte und. Hier kommt ihr zu den beauty clicks. Offener kleiderschrank stahlrohr rohre garderobe industriell stahl design einkaufen. Ich verkaufe einen roten hemnes schrank von ikea. Sie sind online in unterschiedlichen farben wie elegantem. Offene systeme bieten sich auch ideal für begehbare kleiderschränke an. Kleiderschränke unterscheiden sich in größe, farbe, material, design, lackierung und baustil. ...
Gobierno De La Ciudad De Buenos Aires Logo / File Seal Of The Buenos Aires City 2003 2006 Svg Wikipedia / El rector alberto barbieri señaló que se trata de un logro muy importante que nos permite enfrentar los desafíos que nos impone el siglo xxi y la. . Información general, tramites, servicios, agenda, mapas y aplicaciones. Se encuentra entre las ciudades con mayor calidad de vida de américa latina y es la ciudad más visitada de américa del sur. Términos y condiciones gobierno de la ciudad autónoma de buenos aires·. Buenos aires provincia grupo provincia provincia microcréditos fundación banco provincia museo banco provincia. ❮ ❯ con llamar no perdés nada. Conocé como sacar el dni, partidas online, turnos para matrimonio, el boleto estudiantil, entre otros. Ciudad autónoma de buenos aires, argentina. En 1997, durante el gobierno de fernando de la rúa, se sancionó el decreto nº 557/gcba/96 (b.o. Del centro de la ciudad. Download the vector logo of the gobierno de la ...
How To Put A Lock On A Garden Gate / Shed Security 18 Tips To Secure Your Garden Storage The Best Bike Lock : On smaller gates this isnt needed. . Depending on the type of catch, the clearance on the hinge side may need to be. Form_title= garden gate form_header= keep unwanted guests out of your garden with a gate. How to prepare for garden gate installation. The gate is hung between posts, with the width centred on the gatepost. The gate would swing toward the garden (swing in) so this meant that the inside of the hinge went on the inside. On the other hand, you must carefully check that the. On smaller gates this isnt needed. Lots of advice and tips to make the fitting of these products as hassle free as possible, all locks are available in a brass or stainless steel finish. Nicole vulcan has been a journalist since 1997, covering parenting and fitness for the oregonian, careers for careeraddict, and travel, gardening and fitness for black hills woman and other pub...
Komentar
Posting Komentar